Index of /~jonesc/lhcb/PID/ANN/MC12TuneV3/Long/Ghost/png/Mixture/EvalNoPreSel
Parent Directory
DLLEffForMVACut/
DLLEffVTrackP/
DLLEffVTrackPt/
Inputs/
Long_Ghost-IDEff_V_Electron-MisIDEff.png
Long_Ghost-IDEff_V_Ghost-Purity.png
Long_Ghost-IDEff_V_Kaon-MisIDEff.png
Long_Ghost-IDEff_V_Muon-MisIDEff.png
Long_Ghost-IDEff_V_OverallMisID_Liny.png
Long_Ghost-IDEff_V_OverallMisID_Logy.png
Long_Ghost-IDEff_V_Pion-MisIDEff.png
Long_Ghost-IDEff_V_Proton-MisIDEff.png
Long_Ghost-MVAOutVDLL-Background_Linz.png
Long_Ghost-MVAOutVDLL-Background_Logz.png
Long_Ghost-MVAOutVDLL-Signal_Linz.png
Long_Ghost-MVAOutVDLL-Signal_Logz.png
Long_Ghost-MVAOut_Liny.png
Long_Ghost-MVAOut_Logy.png
Long_Ghost-PurityVCombDLL.png
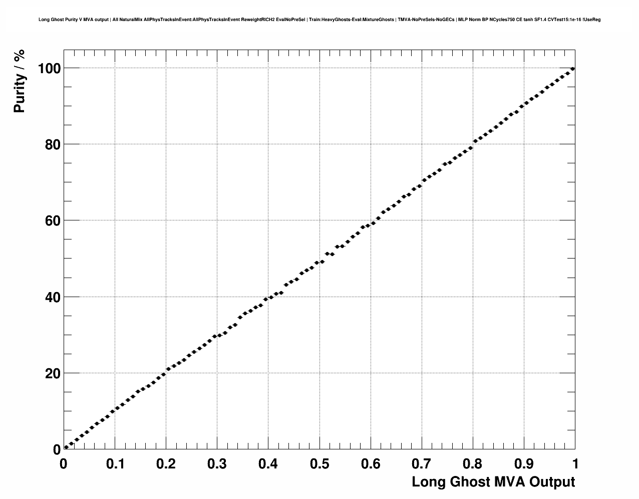
Long_Ghost-PurityVMVAOut.png
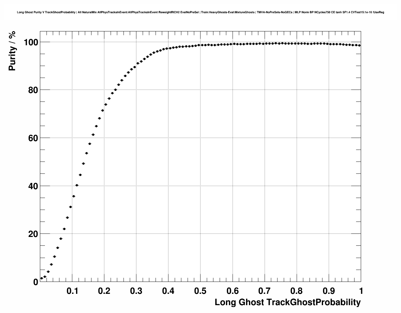
Long_Ghost-TrackGhostProbability_Liny.png
Long_Ghost-TrackGhostProbability_Logy.png
MVAEffForDLLCut/
MVAEffVTrackP/
MVAEffVTrackPt/